MAPV
Aplikace počítačového vidění
Základní fyzikální principy využitelné v počítačovém vidění
Fyzikální vlastnosti se projeví:
při promítání scény na detektor - osvětlování (nasvětlení scény, zdroje a parametry světla) , vlastnosti světla (scéna, objekty – šíření světla, odrazy, lomy, ztráty), promítání optikou (optika, objektiv – zobrazení, paprsková optika, vady optiky)
při zpracování signálu – detektor (převod světlo - elektřina, náboj), digitalizace, šum
ve scéně jako měřené nebo zprostředkované veličiny – poloha, rychlost, hustota, čas …
ostatní vlastnosti vhodné pro vyřešení úlohy – převod veličin
Optika
je fyzikální obor který se zabývá světlem a jeho šířením
zabývá se i vzájemným působením světelných paprsků a objektů
Dělení je možné například:
Fyzikální pohled udává jas bodu v obrazové rovině jako funkci osvětlení a vlastností povrchu.
radiometrie – fyzikální pohled
fotometrie – fyzikální pohled s přihlédnutím k vlastnostem lidského zraku (normál lidského oka uvyklého na světlo a na tmu)
vlnová optika – fyzikální pohled (interference, polarizace, rozptyl)
geometrická (paprsková) optika – šíření světla (přímočarost, lom, odraz), v praxi udává, ve kterém místě obrazové roviny bude situovám bod ze snímané scény
světlo
elektromagnetické záření vlnové délky 400-740nm (někdy i UV, NIR, MW, LW (FIR >10um))
c = 3.108 m/s ve vakuu, v hustším prostředí je pomalejší
hlavní (využívané) vlastnosti (intenzita, vlnová délka, polarizace)
„přenáší“ energii
příčné postupné vlny ve fázi

světlo hodnotíme v
těchto bodech
- zdroj - parametry vysílaného světla
(výkon, vlnová délka, ..., směr ...), zobrazovací zařízení - (výkon
směrovost, kvalita barev, jasu ....) - svítivost
- cesta - šíření
prostředím - světelný tok
- dopad - reakce s objekty a další
šíření (směr, ztráty, odraz, lom ...) - osvětlení
jas/intenzita
energie záření vyvolává vjem
síla vjemu je závislá na detektoru, vlnové délce a energii
hodnocení jasu může být subjektivní, jasový vjem záleží na kontextu (iluze1, iluze2, iluze3, iluze4)
Radiometrie
popisuje skutečné výkonové poměry
zdroj popisujeme svítivostí (zářivost) do daného prostoru [W/sr]
světelný (zářivý) tok ɸ udává energii v daném místě [W]
Osvětlení E udává výkon záření, který dopadá na plochu [W/m2]
k měření energie záření se používá radiometr
Fotometrie
přihlíží k citlivosti lidského oka
svítivost I [cd, kandela] spojena se zdrojem do daného prostoru
optický tok ɸ [lm = cd . sr, lumen] je světlo procházející daným prostorem
osvětlení E [lx = lm/m2, lux] udává velikost toku dopadajícího (či odraženého) na plochu – měří se luxmetry (fotočlánek)
difuzní záření plochy má jednotku nit [cd/m2] – hodnocení monitorů
expozimetr – slouží ke stanovení parametrů pro pořízení kvalitních snímků na základě použitého materiálu a nastavených parametrů

barva (frekvence)



barva dána působícím zdrojem světla a vlastnostmi objektu (odraz nebo pohlcení)
často používané viditelné (400-700nm), a blízké IR (>700nm), vzdálené IR (8um)
nejkratší vlnové délky (fialová) mmají energii 3.1eV/foton, nejdelší 1.6eV/foton



(transmitance
atmosféry, převzato z Baláž, Řehoř Dosahy OE přístrojů v reálných
podmínkách)
vjem barvy je subjektivní (závisí na detektoru), definice barva <-> frekvence se s dobou upravuje
několik RGB modelů a příslušná (neupravená) barva
záporné hodnoty barvy není možné realizovat (ořezání)

achromatické – obsahující všechny vlnové délky
monochromatický – jednobarevný
HW a barva
optika (objektivy, lom, ...) je většinou závislá na frekvenci procházejícího světla. „Přesně“ se chová pro jednu frekvenci a následně je snaha o minimální chybu
pro IR, UV ... je nutné pořídit speciálně navrženou optiku
spektrometry – využívají rozkladu světla hranolem nebo difrakční mřížkou. (spektroradiometry) zjištění spektrálních vlastností světla, množství energie v závislosti na frekvenci
monochromátory – podobný princip jako u spektrometru, rozložené světlo se neměří ale používá jako generátor „barvy“ – výsledný jas je nízký
pro generování „barev“ se dále používá bílé světlo průchodem přes filtry, LED diody nebo lasery různých vlnových délek – jejich výkon je dostatečný, spektrum stabilní a definované složením
kolorimetry – změří parametry scény a navrhnou filtry a způsob snímání pro správnou reprodukci scény na daný materiál. Změří i „barvu“ – buď v RGB, nebo jiném modelu (XYZ, Lab …)
kalibry – slouží
ke správnému nastavení soustavy – sladění barev nebo ke
kalibraci přístrojů. Používá se základních barev (aditivní,
substraktivní), a většinou ještě další barvy, které bývají po
nastavení základních barev nevěrohodné („barva kůže“,
„listová zeleň“, „barva oblohy“ ...)

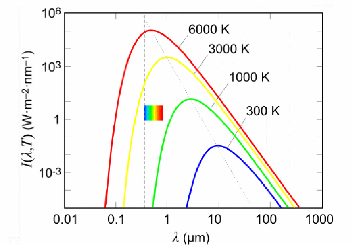
Barevná teplota
etalon/reference pro
srovnávání – vyzařování absolutně černého tělesa (abstrakce,
přesně respektující fyzikální zákony - Planck),
h,
k - konstanty planckova a boltzmannova, I intenzita záření, T
teplota abs.č.t, λ
vlnová délka

Wienův
posunovací zákon

některé zdroje vystihuje dobře, u jiných jsou nutné korekce
využívá se pro definování nastavování zobrazovacích zařízení (monitory, tiskárny), přizpůsobení citlivosti detektoru povaze zdroje – např. 6500K pro nastavení bílého bodu, žárovka dává žluté světlo, zářivka bílé, denní světlo je modré ...
Stefan-Boltzmannův
zákon![]()
ε
emisivita tělesa (ve srovnání s
absolutně č.t.)
pomocí kalibrů na principu černého tělesa se testují a kalibrují IR zařízení

vyjádření barevné teploty v různých modelech – barvy v nízkých teplotách jsou „teplé“ při vysokých teplotách „studené“


Obr. Diagram chromatičnosti bez „ořezání“ (HDTV a CIE - jiné postavení bodů R,G,B,W a zobrazované plochy - trojúhelník) -
srovnání s http://cs.wikipedia.org/wiki/CIE
polarizace
obecně je světlo elmag záření (složky E a B) kolmé na sebe, ale v libovolných rovinách
světlo s jedním směrem vln – polarizované
lze vybrat jen některý ze směrů pomocí polarizačních filtrů (spojené s pracovní frekvencí)
polarizace lineární a kruhová
při použití filtrů - ztráta energie
úhlovou změnou dvou polarizačních filtrů oproti sobě lze korigovat intenzitu světla – funkce kvadrátu cosinu úhlu
dva filtry za sebou otočené o 90 stupňů – nepropouští nic
polarizace vzniká např. při odrazu (zvláště na hranách)
polarizační filtry se používají k odstranění nechtěných odrazů (vodní hladina, okna …), ke změně intenzity světla, k „vyčištění“ fotek od rozptýleného světla (po odrazech je polarizované),
použití v expozimetru
polarizace se využívá při 3D zobrazování (Projektor – filtr – plátno(galvanické) – filtr – oko; TV s „polarizovanými“ body). Používá se většinou polarizace kruhová.

Obr. Princip 3D – nahoře lineární polarizace, dole polarizace kruhová
filtry
jsou optické součástky, které se přidávají do optické cesty aby upravily obraz
spektrální filtry – odrazem nebo propustností mění spektrum – propusti, nebo zádrže
odstranění IR složky u barevných kamer
„výběr“ barevné složky – například při nasvícení scény (jednobarevným) laserem – zvýšení kontrastu
odstranění části spektra – např. opar, „nádech“ od žárovky, zářivky … a tím zvýšit kvalitu

výběr části spektra, která (ne)nese danou informaci – na obr je pohled ve viditelné a IR části – popis „zmizel“
polarizační filtry
filtry rozptylující světlo – v objektivu, ve zdroji
filtry pro světelné efekty – ve fotografii
holografické filtry - „rozloží“ bodový paprsek do obrazu
u zobrazovacích zařízení (projektory, TV) filtry pohlcují energii (zahřívají se)
interference
zvláště citlivé metody měřící s krokem jedné periody použitého záření nebo vzoru (moiré)

měří většinou relativně (v objektu by něměly být „skoky“)
posun o λ/2, který odpovídá vzdálenosti min-max jasu. Precizní měření ve vzdálenosti, menší hloubka měřených objektů
slouží k měření vzdálenosti, - michelson
měření 3D tvaru – Newtonova skla – jedna plocha je kalibrační, druhá měřená – v mezeře mezi nimi vzniká interferenční obrazec. Lze použít i ke zjištění vlnové délky světla podle rozteče proužků. Měření parametrů kloubních náhrad s vysokou přesností
přístroje se nazývají interferometry
difrakce
ohyb na (ostrých) hranách/ překážkách velikostí srovnatelných s délkou vlny
je to vlastně „rozptyl“ světla z přímé linie, kdy se světlo dostane i tam, kam by podle paprskové teorie nemělo (hrana se stává zdrojem a od ní se světlo šíří „všemi“ směry
v důsledku difrakce v čočce se ostrý bod zobrazuje jako sync. Tato vlastnost definuje rozližení dvou bodů blízko sebe. Body musí být tak daleko od sebe, aby po difrakci střed druhého maxima ležel alespoň v minimu prvního. Leží li blíže, potom body splynou a nelze je odlišit. Tento jev omezuje frekvenční vlastnosti objektivů
difrakce na mřížce – je-li velké množství malých bodů (či nerovností), potom dochází k ohybu a to v závislosti na frekvenci (viz bílé světlo na CD). Toho lze využít pro rozklad světla na barevné složky. Pokud je na výstupu detektor, hovoříme o spektrometru – měříme barevné složky dopadajícího záření. U monochromátoru svítíme bílým světlem a na výstupu štěrbinou vybíráme světlo dané vlnové délky – nevýhodou je malý výkon
možnost nasvícení scény (ne)
Lambertův vyzařovací zákon
![]()
směrové světlo – nasvěcuje plochy, vrhá stíny, nesymetrické osvětlení (odrazy) na přivrácených a odvrácených hranách, „prasátka“ na hranách, málo citlivé na změnu polohy (kromě hran)
boční (tečné) světlo – zvýrazňuje povrchové nerovnosti, obtížné „ideální tečné“ nastavení, citlivé na změnu vzájemné polohy světlo – objekt, stíny
difuzní světlo – odstraňuje nerovnosti povrhu (rovnoměrné nasvícení necitlivé na směr povrchu), málo citlivé na změnu předlohy, velká plocha zdroje světla,
přímé světlo (od kamery) – málo stínů, zpětné odrazy, rovnoměrné osvětlení, stejná optická dráha pro nasvícení i detekci, spojení s optikou (kamerou) ztěžuje manipulaci
difuzní z daného směru (od kamery) – kombinace minulých, odstraňuje odrazy do kamery, zmenšuje stíny, nižší intenzita světla,
strukturované světlo (vzor-pattern) – pomoc při detekci periodických objektů, nebo objektů bez ostrých jasových přechodů, při jednoduchém vzoru malá přesnost (nebo pomalé díky opakování posunu vzoru), při složitém vzoru se ztrácí „originální“ pohled, špatné na neodrazných plochách (černá …), kvalitní detekce, nutnost kalibrace
polarizované světlo – může zvýraznit nebo potlačit určité odrazy (např. na hranách). Pohlcuje světlo (50%)
zadní světlo – světlo za objektem, ostré kontury, je-li světlo difuzní – pozvolný průběh na hraně, snadná detekce objektu – vhodné pro hrany, nevhodné pro povrchy (siluety), vhodné též pro transparentní materiály
vnitřní odrazy – světlo svítí do (opticky vodivého) objektu a produkuje odrazy na nerovnostech, vysoký kontrast (především na vadách – zlomy …), slabý kontrast samotného objektu
Další přístroje (ne)
kolimátory dávají svazek rovnoběžných paprsků – imitují zdroj v nekonečnu – používají se například při kalibraci kamer, testech optiky
autokolimátor – nástroj pro precizní nastavení nebo proměření optiky nebo zobrazovacího systému. S jeho pomocí můžeme zjistit malé chyby zobrazovací soustavy – promítá (z nekonečna = rovnoběžně), mřížka je promítaná na zrcadlo (přes optickou soustavu) a zpět do kolimátoru, kde je možnost srovnání původního a navráceného obrazu – rozdíl určuje změny způsobené optickou trasou
světelné dómy – sféra s rozmístěnými světly umožňuje zjistit vliv směrového světla na povrch tělesa
densitometry – měří kolik známého světla se odrazí nebo projde od objektu
Osvětlení
Požadavky – reprodukovatelnost (ve všech parametrech), neměnnost v prostoru a čase, co nejvýhodnější vlastnosti z hlediska řešeného problému, možnost použití kde je potřeba (transport), možnost použití nasvícení vzorem
Laser – silné monochromatické záření přesné frekvence, dobře fokusované – použití ke značení scény, dá se optikou převést na linku, mřížku ...
LED – záření dané frekvence, širší pásmo a úhel vyzařování než laser. „Umí“ i pulsní režim s větším výkonem. Přímé nebo difuzní světlo. Použití ke značení nebo osvětlení. (70lm/W)
xenonové zdroje – mají velice kvalitní vlastnosti ve viditelné části spektra – konstantní hodnota spektrálního vyzařování. 30-120 lm/W podle přivedeného výkonu (1kW-20kW)
halogen – hladká křivka výkonu, ale na nižších frekvencích klesá (30lm/W)
fluorescence
přeměna jedné energie (UV) na jinou (viditelné záření)
luminofory – například v zářivkách (lepší světelný výkon na Watt než klasické žárovky)
„světélkování“ na ostrých hranách při UV záření (defektoskopie, chemické látky, kriminalistika)
Geometrická optika
v případě, že objekty jsou větší než vlnová délka
zjednodušené řešení dostatečné pro většinu aplikací
světlo jako vektor – přímočaré šíření světla, zaměnitelnost (reverzace/zpětný chod) paprsků, lom, odraz
Odraz a lom
jevy, na rozhraní dvou opticky různých materiálů
Při dopadu dojde k odrazu i lomu (za určitých podmínek), část světelné energie se mění v teplo (absorpce)
dochází k polarizaci světla (částečné či úplné) pro odraz i lom
na tenkých vrstvách může způsobit interferenční jevy
Odraz
úhel dopadu se rovná úhlu odrazu (od normály), ve stejné rovině
při odrazu od hustšího prostředí se mění fáze vlny

zrcadla
plochá – prodloužení cesty paprsku, zobrazení skrytých míst
kulová, parabolická – zvětšují, zmenšují jako čočky, zobrazují do osy (jsou symetrické) nebo mimo osu – detektor není ve směru vstupních paprsků. Například dozorová zrcadla, katodioptrická zrcadla
proměnná
Má-li být odraz kvalitní, je pokovená přední a ne zadní strana zrcadla – tato vrstva je citlivá na otěr – protiotěrová vrstva
Pokud má sloužit odražené světlo k měření, měla by před odrazem být použita kruhová polarizace – (aby nedošlo k polarizaci polarizovaného světla - v nejhorším případě k vymizení)
typy odrazů
zrcadlový – paprsek pokračuje s dominantním směrem - úhel dopadu je úhel odrazu
difuzní – odraz všemi směry, použití k vytvoření difuzního (rovnoměrného) světla
zpětný – paprsek se vrací do směru ze kterého přišel – speciální materiály (dopravní značky) nebo koutový odražeč (slouží například k měření vzdálenosti, v měřených scénách může způsobit nepříjemné reflexy)
kombinace (s různým zastoupením předchozích) – například difuzní směrový (nekvalitní lesklá plocha, dopravní značky)
Difuzní odraz je „ideální“, pokud respektuje lambertův zákon odrazu - Id=kd. Id . cos ν . Intenzita odraženého světla v daném směru závisí na intenzitě dopadajícího světla. kd je koeficient množství odraženého světla (0-1), a v je úhel odrazu světelného paprsku. Pokud se na takovou plochu díváme pod úhlem, potom nezávisle na úhlu vypadá stejně jasná (pod úhlem se plocha sklopí o cos a je na ní tedy stejně energie). Lambertovské vyzařování se požaduje o zobrazovačů (monitory).
Lom
podle snellova zákona, podle indexu lomu – vlastnost materiálu závislá na frekvenci (rozklad „na duhu“)
do hustšího prostředí – ke kolmici
slouží například k rozkladu světla hranolem, k polarizaci ...
některé materiály mění parametry lomu na základě vnějších podmínek – pak můžeme řídit posun paprsků, které procházejí – upřesňování pozice paprsku (například při tisku laserem), posun paprsků pro prostorová měření v malých vzdálenostech („vyrobí“ paralaxu)
Zobrazování a zobrazovací soustavy
základní prvky - čočky a zrcadla, clony,
objektivy – soustavy složené ze základních prvků – mikroskopy, dalekohledy, teleobjektivy ...
Čočky
základ zobrazovacích soustav
spojky, rozptylky
„klasické“, kulové (rovnoběžné záření <-> bod), válcové (řádkové kamery, spektrometry, rozšíření vzorů (laser)), fresnelovy
fresnelovy čočky
– ohyby paprsků na plošných površích čočky jsou nahrazeny difrakcí na sérií drobných soustředných „proužků/drážek“. Každý z proužků způsobuje individuálně ohyb (difrakci) světla. Výhodou jsou malé ztráty plynoucí z malé tloušťky čočky. Mají ovšem horší kvalitu zobrazení, vyšší zkreslení (zvláště pro nižší hustotu). „Širokoúhlé“ čočky na zadních sklech automobilů, v obchodech ...
zobrazovací rovnice, zvětšení
základní rovnice čočky – objekt je zobrazen čočkou na obraz
obraz mění vzdálenost a velikost v závislosti na poloze objektu
pro kontrukci objektů zobrazovaných čočkami – paprsky rovnoběžné <-> paprsky ohniskem, paprsky procházející středem čočky směr nemění, ostatní paprsky nemají přesný předpis ale procházejí též

zobrazovací rovnice
s – vzdálenost objektu od hlavní roviny optického systému
s’ – vzdálenost vytvořeného obrazu objektu
f – ohnisková vzdálenost optického systému
x – vzdálenost objektu od ohniska na objektové straně
x’ – vzdálenost obrazu od ohniska na obrazové straně
Zvětšení
mezi objektem a jeho obrazem lze vyjádřit
y – velikost objektu
y’ – velikost obrazu
Zobrazovací rovnici lze zjednodušeně psát
![]()
c se nazývá zobrazovací konstanta


Závislost vzdálenosti obrazové roviny na vzdálenosti objektu a Zvětšení zobrazovaného objektu
hloubka ostrosti
udává, o kolik je možné pohnout objektem (resp. Senzorem), aby nedošlo k jeho rozostření
bod se zobrazí na bod pouze v jednom místě od čočky, mimo to je průmětem kužel. Pokud je plocha kužele menší než jednotka detektoru, je obraz ostrý
pro průmětný kroužek průměru k je
,
.
D je průměr výstupní pupily
(je dán průmětem nejužšího místa do výstupu,
(světelnost
objektivu, clonové číslo) udává vliv clony na hloubku ostrosti.
Hloubka ostrosti je větší pro větší vzdálenost od kamery (x), větší
pro menší ohniskové vzdálenosti (f), větší pro menší průměr clony
(d), větší pro větší krok detektoru, pixel (k).
Objektivy
promítání 3D světa na 2D detektor
dírková kamera – viz zobrazovací systém
perspektivní a centrální (telecentry)
clona
omezuje průchod světla
má vliv na - hloubka ostrosti, jasové poměry detektoru
„ořezáním“ okrajových částí světla v čočkách zmenšuje vady ale může vést k omezení světla u kraje (vinětace)
určuje aperturu
nejčastěji se umisťuje do středu soustavy, nebo do ohnisek (telecentry) – vybírá paprsky, které se účastní zobrazování
průchod světla
pupila, aprertura – vstupní a výstupní označuje prostor před/za čočkou takový, že nejužší místo objektivu promítneme vně (obraz otvorové clonky)
numerická apertura – udává množství kužele světla přijatého nebo emitovaného přes objektiv/čočku
clonová čísla – f/d, f/#. Udává světelnost objektivu. Je vyznačována pro dvojnásobky světla (kruh s dvojnásobnou plochou=√2 krát). cca od 1.4, pro telecentry F6 až F25
clonové číslo
hloubka ostrosti
„ostření“
fix focus – posunem, výběrem zobrazovací roviny, paprsky z nekonečna se protínají v ohnisku, paprsky z bližší vzdálenosti se posunují dále od ohniska (čím dál rychleji)
změna polohy čoček – změna optické soustavy
rozostření – psf – možnost korekce, ve frekvenční oblasti, „variace“ na gaussovu křivku
telecentr – dlouhé ohniskové vzdálenosti
zoom – změna zvětšení pomocí změny optických vlastností – pozice čočky. někdy nutno současně se zoomem doostřovat
telecentrické zobrazení
clonkou umístěnou v ohnisku se vyberou pouze paprsky, které jsou na druhé straně rovnoběžné -> velká hloubka ostrosti, v obraze není perspektiva ...
malá světelnost - značný úbytek světla pro kvalitní zobrazení (malý otvor clonky)
telecentricita v oblasti předmětu nebo obrazu
parametr zobrazení je pouze konstanta zvětšení
objekty musí být menší než průměr čočky
vady optiky
zkreslení geometrické
vinětace
koma, atigmatizmus
barevné závislosti vady
další parametry objektivu - uchycení
C/CS mount - udává vzdálenost zadní plochy objektivu od čipu (průmětné roviny)
F-mount – bajonet (Nikon)
výpočet objektivu
návrh scény
vlastnost, vstup, výstup, hw kalibrace
FOV – (pro obě osy) dána velikostí objektu
velikost čipu – citlivost (mm/pixel)
objektiv pro daný formát čipu (např. 1/2“) nebo větší
pracovní vzdálenost – vzdálenost objekt kamera
volíme f nejbližší nižší
hloubka ostrosti (má vliv na světelnost objektivu)
rozlišení (kontrast) – kvalita objektivu, jak velký prvek objektu bude viditelný, jak bude obraz rozmazán
zda se jedná o finitní nebo infinitní zobrazení
„přiblížení“ pomocí mezikroužků
typ objektivu – např. vykorigování chromatických vad, koma …
kontrast, citlivost
hodnocení kvality zobrazovacích soustav
schopnost oddělit tmavé a světlé oblasti na obraze [%]
Modulation Transfer Function (v závislosti na cykly/mm, jinak též kontrast nebo modulace) udává jak kvalitně čočka přenese detaily objektu do zobrazovací roviny. Je to schopnost přenášet kontrast na určitém rozlišení z objektu na detektor. Zahrnuje tedy do jednoho grafu kontrast a rozlišení.
Objektem jsou pro testy plně promodulované černo-bílé pruhy (kontrast 100%). Difrakcí je způsoben rozptyl světla a tím „rozplyznutí“ průběhu. Čočka pro vyšší frekvenci hůře přenáší kontrast předlohy = kontrast se snižuje.
MTF vyjadřuje kontrast snímku vztažený na kontrast objektu (předlohy). Je tedy od 0 (šedá na šedé) do 1 (bílá na černé).
MTF by se mělo provádět pro každou část obrazu (pixel) a pro každou vlnovou délku. Udává se pro osu a monochromatické světlo dané vlnové délky.
kalibrační vzory – proužky
aliasing – pixel sám o sobě je sumačním filtrem – odstranění vyšších frekvencí. Pro odstranění aliasingu „stačí“ horší optika (rozmaže vyšší frekvence) nebo antialiasing filtry

Poslední změna 2015-11-25